Login
Login
Sign up
Start
Mathmania
Teacher tutorials
TOP
Subjects
Bridge Course
Testworks
Subject updates
Ya+
News
Send feedback
See more
Contacts
About Us
Terms and Conditions
Privacy Policy
PDF chapter test
TRY NOW
Subjects
Science CBSE
Class 7
Motion and time
Speed, time and distance-time graph
24.
Types of distance-time graph
Exercise condition:
4
m.
Select the right option
:
1
.
In the given figure, which letter represents the mean position of the pendulum?
\(A\)
\(O\)
Either \(A\) or \(O\)
None of the above
2
.
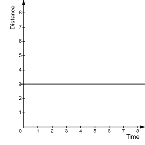
Non-uniform motion
Uniform motion
Rest
3
.
The motion of two objects \(X\) and \(Y\) is shown in the distance-time graph. Which of them is moving faster?
\(X\)
\(Y\)
Either \(X\) or \(Y\)
Neither \(X\) nor \(Y\)
Login
or
Fast registration
Previous exercise
Exit to the topic
Next exercise
Send feedback
Did you find an error?
Send it to us!