Login
Login
Sign up
Start
Mathmania
Teacher tutorials
TOP
Subjects
Bridge Course
Testworks
Subject updates
Ya+
News
Send feedback
See more
Contacts
About Us
Terms and Conditions
Privacy Policy
PDF chapter test
TRY NOW
Subjects
அறிவியல்
Class 6
கணினியின் பாகங்கள்
புத்தக வினாக்கள்
3.
குறுகிய விடையளி I
Exercise condition:
6
m.
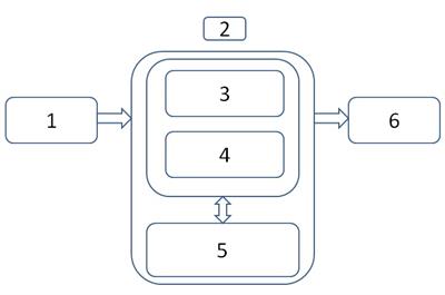
கணினியின் கூறுகள் யாவை?.
கீழே உள்ள வரைபடம் கணினியின் கட்டமைப்பைக் காட்டுகிறது.
1
.
2
.
3
.
4
.
5
.
6
.
Answer variants:
ALU
வெளியீட்டகம்
கட்டுப்படுத்தும்அமைப்பு
நினைவகம்
உள்ளீட்டகம்
CPU
Login
or
Fast registration
Previous exercise
Exit to the topic
Next exercise
Send feedback
Did you find an error?
Send it to us!